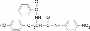
N-Benzoyl-L-tyrosine ethyl ester
CAS Number: 3483-82-7
Related Categories Biochemicals and Reagents, Cell Biology, Cell Signaling and Neuroscience, Chymotrypsin, alpha, Enzyme Substrates,
mp 118-121 dec
storage temp. −20 dec
Bulk Ordering & Pricing:
Need larger quantities for your development, manufacturing or research applications?
Properties
N-Benzoyl-L-tyrosine ethyl ester
Related Categories Biochemicals and Reagents, Cell Biology, Cell Signaling and Neuroscience, Chymotrypsin, alpha, Enzyme Substrates,
mp 118-121 dec
storage temp. −20 dec
mp 118-121 dec
storage temp. −20 dec
Personal Protective Equipment: Eyeshields, Gloves, type N95 (US), type P1 (EN143) respirator filter
RIDADR : NONH for all modes of transport
WGK Germany 3
RIDADR : NONH for all modes of transport
WGK Germany 3
Related Categories Biochemicals and Reagents, Cell Biology, Cell Signaling and Neuroscience, Chymotrypsin, alpha, Enzyme Substrates,
mp 118-121 dec
storage temp. −20 dec
mp 118-121 dec
storage temp. −20 dec
Warning: include(../Related_Products/Related_Products_API_1.php): Failed to open stream: No such file or directory in /home/z2mv6jw5uxrv/public_html/inventchem.com/PEPTID/N-Benzoyl-L-tyrosine-ethyl-ester.php on line 564
Warning: include(): Failed opening '../Related_Products/Related_Products_API_1.php' for inclusion (include_path='.:/opt/alt/php81/usr/share/pear:/opt/alt/php81/usr/share/php:/usr/share/pear:/usr/share/php') in /home/z2mv6jw5uxrv/public_html/inventchem.com/PEPTID/N-Benzoyl-L-tyrosine-ethyl-ester.php on line 564

benzobithiophene.png)